César Castro Fagoaga y Bill Barreto (El Faro/Plaza Pública/Univision)
Los cuestionados clientes guatemaltecos que pusieron en apuros a Mossack Fonseca
El bufete prestó servicios a por lo menos 5 guatemaltecos que luego serían señalados por corrupción, entre ellos el exsecretario privado de la vicepresidenta Roxana Baldetti, Juan Carlos Monzón.

El trámite para crear la empresa Edengrove International S.A. fue sencillo. Desde Guatemala, el bufete Díaz-Durán y Asociados envió a sus colegas en Panamá los documentos del guatemalteco Víctor Hugo Hernández. En Panamá, Mossack Fonseca recibió la documentación y en menos de tres semanas y, sin demasiadas preguntas, creó la sociedad offshore con un capital autorizado de $10,000.
La solicitud enviada por Díaz-Durán, que opera como filial de Mossack Fonseca en Guatemala, detallaba que Hernández sería el beneficiario real de la empresa domiciliada en Panamá. Edengrove, que inició con directores fachadas nombrados por el bufete panameño, consignaba que sería usada para “manejo de bienes”, tal como consta en la solicitud enviada por la filial guatemalteca y firmada por Hernández el 8 de abril de 2011.
La relación entre Mossack Fonseca y Edengrove terminó abruptamente en mayo de 2015. Y la culpa la tuvo Juan Carlos Monzón.
El lunes 27 de abril de 2015, cuando en Guatemala ya era público que Monzón, entonces secretario privado de la vicepresidenta Roxana Baldetti, era prófugo de la justicia como cabeza visible de una estructura de defraudación aduanera en el país, las alarmas sonaron en el bufete Díaz-Durán y Asociados. Gilda María Urrutia, abogada guatemalteca, escribió un correo a Carlos Sousa, el director de marketing de Mossack Fonseca, para informar lo que estaba ocurriendo con el caso conocido como “La Línea”.
Urrutia le compartió una noticia publicada por elPeriódico el 21 de abril de 2015. En ella se citaban numerosos viajes de Monzón a Panamá y su vinculación con Víctor Hugo Hernández, a quien la investigación periodística situaba como uno de los principales testaferros de Monzón, ligado a sus empresas en Guatemala y a la venta de seis fincas para el expresidente Otto Pérez Molina.
En los registros de Mossack Fonseca, Hernández aparece como un ejecutivo nacido en septiembre de 1966 y con residencia en la colonia 20 de octubre, en la zona 5 de Ciudad de Guatemala.
“Platiqué con Rubén al respecto y coincidimos en que procedería una renuncia de agente registrado”, le escribió Urrutia a Sousa. La abogada se refería a Rubén Hernández, el CEO salvadoreño de Mossack Fonseca.
Los documentos legales de la empresa Edengrove y los correos electrónicos entre Mossack Fonseca y su filial guatemalteca constan en los archivos confidenciales a los que tuvo acceso el Consorcio Internacional de Periodistas de Investigación (ICIJ), corroborados por El Faro, Univision Noticias y Plaza Pública.
No era la primera vez
Edengrove, que había emitido cuatro certificados de acciones al portador, una práctica habitual en las empresas offshore para difuminar en los registros públicos a los dueños reales de las acciones, otorgó un poder especial a favor de Víctor Hugo Hernández el 27 de abril de 2015. Así consta en la escritura pública 8140, inscrita un día después en el Registro Público panameño.
La renuncia se gestó en 10 días. El 7 de mayo de 2015, los abogados de Mossack Fonseca inscribieron en el Registro Público la escritura en la que consta la renuncia del bufete como agente residente y de varios de sus empleados como directores fachada de la sociedad Edengrove International.
El caso Monzón fue un déjà vu para Mossack Fonseca. Un año antes, el bufete panameño había renunciado a otras dos sociedades creadas para clientes guatemaltecos señalados en escándalos de corrupción. Fue el caso de Highlands Consultants Corp y Pendale Consulting, SA, dos offshore domiciliadas en las Islas Vírgenes Británicas (BVI), tramitadas por el abogado panameño Adrián E. Castillero y controladas por el guatemalteco César Augusto Medina Farfán.
Castillero fue investigado en Guatemala desde 2002, señalado como financista de la campaña presidencial del expresidente Alfonso Portillo, que entre 2013 y 2015 estuvo preso en Estados Unidos por lavado de dinero. Medina Farfán, amigo del expresidente Portillo y ligado al caso de lavado de dinero cometido durante su gobierno (2000-2004), fue detenido en julio de 2015 bajo la acusación de ser el operador de numerosas redes de tráfico de influencia que operaron durante el gobierno de Otto Pérez Molina, y ahora se ha constituido como colaborador eficaz en el proceso.
En enero de 2001, cuando Portillo aún presidía Guatemala (2000-2004), Castillero, socio del bufete panameño Suárez, Castillero, Holmes y Richa, tramitó con Mossack Fonseca la compra de dos sociedades en Islas Vírgenes Británicas (BVI).
La inscripción de las compañías y la participación de Castilleros y Medina Farfán se comprueban con documentos legales que Mossack Fonseca tramitó entre 2001 y 2010.
Highlands y Pendale, ambas con un capital autorizado de $50,000, fueron creadas en enero de 2001. A diferencia de las offshore panameñas, las sociedades en BVI únicamente requieren de un director para empezar a funcionar. Elvis Pérez, un empleado de Mossack Fonseca, cumplía ese cargo cuando la sociedad fue adquirida (es común que el bufete panameño ponga a disposición de sus clientes shelf companies o sociedades ya registradas).
En una carta fechada el 26 de octubre de 2001, y dirigida al departamento legal de Mossack Fonseca, el abogado Castillero solicitó cambiar a Pérez y nombrar como director de ambas sociedades a César Augusto Medina Farfán.
Las sociedades Highlands y Pendale, se mantuvieron activas hasta septiembre de 2004. El 9 de septiembre de ese año, Castillero escribió una carta a Edmundo Ward, empleado de Mossack Fonseca, para informarle que “después de insistir en contactar a nuestros clientes, ellos nos han comunicado su deseo de no continuar con las sociedades”.
Las comunicaciones entre los abogados intermediarios y Mossack Fonseca se reactivaron nueve meses después, cuando el registro de BVI mostraba como inactivas a las sociedades por falta de pago. Castillero se comunicó esta vez con Carla Castro, del departamento de sociedades de la oficina legal, para enviarle dos cartas en las que se hacía constar la renuncia de Medina Farfán como director de Highlands y Pendale. Las cartas firmadas por Medina Farfán estaban fechadas en Guatemala el 28 de junio de 2005, seis meses después de que Portillo entregara la Presidencia.
Ese trámite, a juzgar por los correos desesperados que Castillero envió a Mossack Fonseca cinco años después, no había quedado registrado en los archivos del bufete panameño.

Borrar el rastro
Correos entre empleados de Mossack Fonseca, en mayo de 2010, muestran que Castillero llamó y visitó las oficinas del bufete panameño para solicitar un documento que certificara que ni él, ni su esposa, Idis de Caballero, habían sido directores o apoderados legales de las sociedades Highlands y Pendale. El 26 de enero de ese año, el expresidente Portillo había sido detenido por segunda ocasión (en 2008 había quedado en libertad tras pagar una fianza de más de $200 mil), en el proceso abierto para extraditarle hacia los Estados Unidos. En Guatemala, publicaciones periodísticas ya vinculaban a Castillero y Medina Farfán con el expresidente Portillo.
El 11 de mayo de 2010, según los correos internos, Castillero visitó por segunda vez Mossack Fonseca y sólo entonces confesó su preocupación real. Esto escribió Irene Andreve, del departamento de Corporaciones, a su jefa Jossete Roquebert: "Nos indicó que esto tiene relación con la detención del Sr. Portillo, quien es expresidente de Guatemala, y en la cual se menciona/involucra nuestra sociedad de BVI Highlands. Básicamente él lo que quiere es que no se le relacione como Director ni representante legal de la misma".
El departamento de Corporaciones de Mossack Fonseca se movió con rapidez. La firma decidió, con el visto bueno de Ramón Fonseca, uno de los socios fundadores, aprobar la renuncia como agente residente el 27 de mayo de 2010. Pero éste no fue el último contacto de la firma panameña con altos funcionarios guatemaltecos.
Los otros hombres del presidente
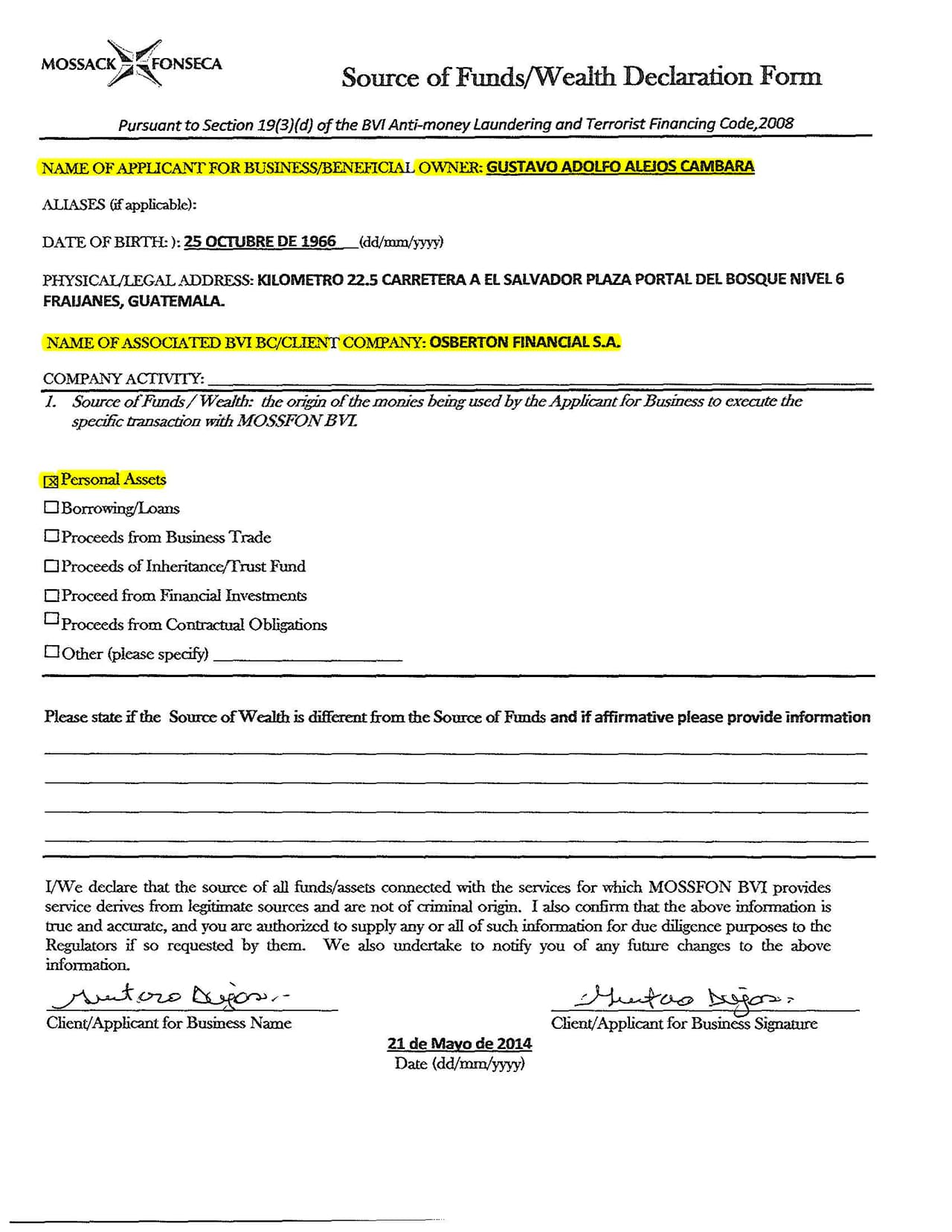
La firma Mossack Fonseca prestó servicios a otros importantes exfuncionarios guatemaltecos investigados por casos de corrupción. Uno de sus clientes fue el empresario farmacéutico Gustavo Adolfo Alejos Cámbara, exsecretario privado de la presidencia durante el gobierno de Álvaro Colom y financista de su partido Unidad Nacional de la Esperanza (UNE).
Alejos ya había sido financista de la Gran Alianza Nacional (Gana), partido gobernante entre 2004-2008, y es citado en el informe de 2015 de la Comisión Internacional Contra la Impunidad en Guatemala (Cicig) El financiamiento de la política en Guatemala en el capítulo “Las élites empresariales y el financiamiento ilícito de la política”. Las empresas en las que Alejos figura como el beneficiario son dos: Osberton Financial S.A. y Lashmar Investments S.A., ambas creadas con la asesoría del despacho panameño.
Osberton Financial S.A. tiene su sede en las Islas Vírgenes Británicas y fue creada por Mossack Fonseca a solicitud expresa de Alejos.

El 9 de mayo de 2012, Alejos constituyó la sociedad para la que se emitieron 50 mil acciones, según un memorándum interno. La dirección de Osberton Financial S.A., está a cargo de otra empresa offshore, Gudson Limited, registrada en la República de Seychelles, un país que ocupa el puesto 30 en el ranking global de secreto bancario según el Financial Secrecy Index 2015. Gudson Limited tiene como firmante autorizada y cabeza del directorio a Francis Elena Pérez Agrazal, una panameña, sin vinculación aparente con Alejos
El "acuerdo de prestación de servicios" firmado por Alejos con Mossack Fonseca específica que autoriza a la firma para la selección de los directivos de la empresa adquirida. El servicio del bufete permitía de esta forma mantener en secreto a los dueños de la compañía mediante un muro de directivos anónimos e intercambiables.
El control sobre la compañía, sin embargo, nunca escapaba del beneficiario último, Gustavo Adolfo Alejos, ya que esta responsabilidad quedó a cargo del abogado guatemalteco Juan Luis Rodríguez González, mediante un poder autorizado por la administradora única Francis Elena Pérez Agrazal. Los correos intercambiados entre los despachos de la firma panameña y el bufete Díaz-Durán, con copia al correo electrónico pmartinez@diazduran.com, muestran cómo se cumplieron todas las formalidades para establecer la propiedad final del exfuncionario: incluyendo la existencia de documentos de identificación de Gustavo Alejos como una fotocopia de su pasaporte y detalles de las cuentas bancarias. La propiedad última es clara y explícita en la documentación interna, aunque se difumina hacia afuera gracias a los intermediarios.
El 25 de mayo de 2012 Gustavo Alejos firmó el "acuerdo de prestación de servicios" y rellenó un formulario en el cual selecciona adquirir una sociedad BVI, con lo cual Osberton Financial S.A. es creada en las Islas Vírgenes Británicas, una plaza en donde no se cobra impuestos sobre la renta, ni sobre las ganancias de capital. Al ser Guatemala un país de renta territorial las ganancias reportadas por una empresa de un guatemalteco, como Alejos, fuera de su territorio no pueden ser sujetas a tributo.
De igual manera, Lashmar S.A., otra empresa a nombre de Alejos, fue inscrita en las Islas Vírgenes Británicas gracias a los servicios del despacho Mossack Fonseca. Registrada oficialmente el 5 de marzo de 2013 esta compañía también fue creada con la intermediación del abogado Juan Luis Rodríguez González, y aunque su beneficiario final es Gustavo Alejos, tiene como directivos a Mirzella Tuñon y Yakeline Pérez. Las copias de los pasaportes de las dos directivas panameñas, así como la de Alejos, aparecen en un documento certificado por un notario de Mossack Fonseca, el 8 de octubre de 2012 en Ginebra, Suiza.
Se encendieron las alarmas
Luego de su creación Lashmar S.A. siguió siendo sujeto de la gestión de la firma panameña. Un correo electrónico interno del 16 de mayo de 2014 muestra como en Mossack Fonseca se discutió el cambio de junta directiva y de la asociación en la sociedad. La cual identifican con el estatus “ADV”, un trámite que requería consulta al departamento legal de Mossack Fonseca.
En esta misma comunicación se explica que la empresa tiene un “caso abierto de Enhanced Due Diligence”, un reporte de alto riesgo iniciado por el propio bufete. La documentación de la compañía no incluía la actividad de la empresa, los países donde la realizaba y la información del beneficiario final. Además, ese caso de Enhanced Due Diligence se encontraba en marcha por la existencia de un director con estatus de “PEP”, denominación de las Personas Expuestas Políticamente. El director con estatus de PEP era Gustavo Alejos, que en ese entonces fungía como secretario privado del expresidente Álvaro Colom.
La clasificación como Personas Expuestas Políticamente es realizada por las autoridades en cada país para designar a f uncionarios públicos como ministros, secretarios, fiscales, diputados que en función de un cargo público relevante deban ser sujetos a una fiscalización más detallada de sus movimientos bancarios, en prevención de casos de desvío de fondos originados por corrupción. La clasificación de PEP, en el caso de Guatemala, se mantiene durante el ejercicio del cargo y hasta dos años después de abandonarlo.
Los documentos consultados revelan que Gustavo Alejos hizo sonar las alarmas en Mossack por sus conexiones políticas y familiares. El bufete también clasificó como PEP a su padre, Roberto Alejos Vásquez (excongresista y actual diputado en el Parlamento Centroamericano); a su hermano, Roberto Alejos Cámbara (expresidente del Congreso de Guatemala), a su sobrino Luis Alfredo Alejos Colibero; y como un amigo muy cercano -“a close friend”- al expresidente Álvaro Colom Caballeros.
En la actualidad Gustavo Alejos guarda prisión por el caso “Negociantes de la salud”, una investigación aún en marcha del Ministerio Público de Guatemala y la Comisión Internacional Contra la Impunidad en Guatemala (Cicig), en que se le acusa de participar en una red de corrupción que operaba en el Instituto Guatemalteco de Seguridad Social (IGSS) para comprar medicamentos a determinados proveedores. Alejos fue hasta el 18 de marzo del 2015 el represente para Guatemala de J.I.Cohen, intermediaria de farmacéuticas internacionales como Roche. Previo a su captura afirmaba tener una fortuna de alrededor de US$180 millones. Entre 2009 y 2016, J.I Cohen por la venta de medicamentos ha obtenido del Estado unos 1200 millones de Quetzales (aproximadamente US$156millones). Se le acusa de los delitos de cohecho activo, tráfico de influencias y asociación ilícita.
Aeropuertos, aduanas y tributos
El uso de los servicios de Mossack Fonseca también conecta al exsecretario privado de la Presidencia, Juan Carlos Monzón, con el exinterventor de Aeronáutica Civil de Guatemala, Alejandro Castañeda Serovic. El ex funcionario de Aeronáutica es beneficiario último de la empresa Act Inc Latino America Corp., una sociedad constituida en Panamá el 20 de diciembre de 2013.
El “contrato de servicios y solicitud de incorporación o adquisición de sociedad” de Mossack Fonseca revela, en el caso de la compañía del exinterventor, que éste adquirió sólo un servicio básico con la firma: La constitución de una empresa en Panamá con un capital autorizado por US$10 mil y las clausulas estándar. No pidió directores para su empresa; en su lugar llevó a los suyos, como secretaria Vania Diggy López García, guatemalteca de 32 años; y como tesorero, Rodolfo Enrique González (estadounidense de origen venezolano de 60 años y residente en Florida).
Para las empresas registradas en Panamá se requieren como mínimo tres directores, y en este caso el mismo Alejandro Castañeda Serovic figura como presidente de Act Inc Latino Corp. cuya dirección registrada es la 14 calle 14-33 de la zona 13 de Guatemala, la misma que Castañeda registró al abandonar Aeronáutica Civil y recibir el cargo de “cónsul ad-honórem” de la República de Montenegro.
El paso de Castañeda Serovic por Aeronáutica Civil, entre noviembre de 2012 y marzo de 2013, fue breve y controversial por ser señalado de ser contratista del Estado. La empresa Servicios Aéreos de Guatemaltecos S.A., de la cual era representante legal, había facturado entre 2009 y 2012 27.75 millones de Quetzales (US$3.6 millones) en suministro de combustible a entidades del Estado como el Ministerio de Defensa y la secretaría encargada de la seguridad presidencial.
La más reciente investigación en contra de Castañeda Serovic, sin embargo, no ha sido presentada por estos reparos por la Contraloría General de Cuentas de Guatemala, sino por un caso de anomalías en el arrendamiento de propiedades de la Dirección General de Aeronáutica Civil; por 5.15 millones de Quetzales (US$600,000) según en el expediente DAJ-D-G-168-2015 de la Contraloría, un caso que incluye a otros cuatro exinterventores de la institución.
Además, según un informe de la Cicig del 20 de febrero de 2015, Alejandro Castañeda Serovic fue identificado a partir del 2 de diciembre de 2014 en al menos tres reuniones con integrantes de la presunta red de defraudación aduanera “La Línea en la Boutique Emilio, su centro de operaciones. Los seguimientos policiales lograron determinar su identidad y corroborar la placa de su vehículo, así como su ingreso al local junto a dirigentes y administradores de la estructura de defraudación tributaria. De momento, Castañeda Serovic no ha sido acusado de pertenecer a este grupo criminal.
La fiscal general de Guatemala, Thelma Aldana, detalló que ya hay un primer acercamiento con la Procuraduría de Panamá para tener acceso a la información revelada por los Panama Papers en casos que involucren a guatemaltecos. Aunque se negó a mencionar casos específicos, Aldana, explicó que fiscales del Ministerio Público ya han ido a Panamá para verificar la información de personas involucradas en casos bajo investigación.
Las primeras revelaciones de los Panama Papers relacionadas con Guatemala, tocan a tres gobiernos, desde la administración de Alfonso Portillo y el Frente Republicano Guatemalteco (FRG), hace 15 años, pasando por el de la UNE y Álvaro Colom, hasta el reciente y masivo escándalo de corrupción que significó la caída del gobierno de Otto Pérez Molina y su vicepresidenta Roxana Baldetti.
Esta información se produce gracias a una alianza colaborativa de elFaro , Plaza Pública y Univision Noticias .










