Una confusa y oscura fórmula difundida por el gobierno de Donald Trump para explicar cómo hizo el supuesto cálculo de los aranceles “recíprocos” anunciados el miércoles desató una guerra de teorías y opiniones.
"¿De dónde viene esta cosa?": la confusa fórmula para calcular los aranceles de Trump desata una guerra de opiniones
Economistas y expertos de reconocimiento internacional criticaron la forma en que el gobierno de EEUU dijo que calculó los aranceles “recíprocos” aplicados a la mayoría de sus socios comerciales.
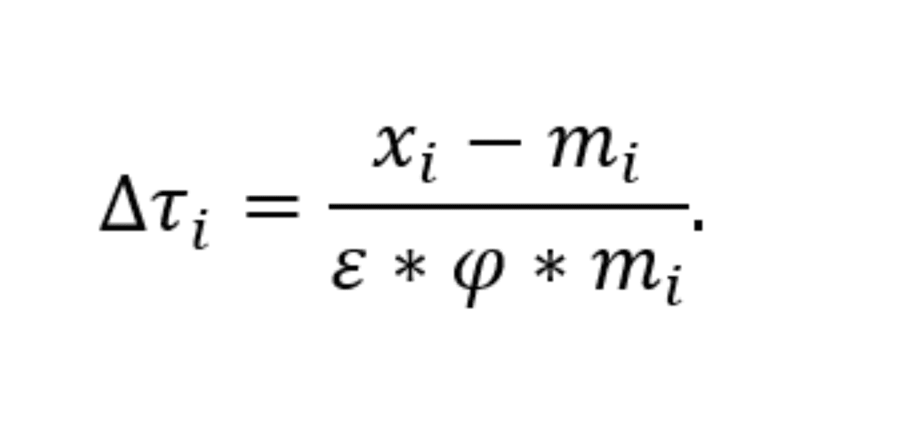
La fórmula matemática generó confusión luego de que fue difundida en la página del Representante Comercial de Estados Unidos (USTR) para explicar cómo calculó los aranceles aplicados a la mayoría de los socios comerciales estadounidenses.
La confusión fue mayor, ya que la fórmula fue presentada con los elementos de un cálculo matemático, con letras en griego y signos de división, multiplicación y conversión.

Luego de que el USTR publicó la confusa fórmula, expertos cuestionaron la forma en que el gobierno dio a conocer el cálculo, con términos matemáticos, generando más dudas y teorías.
En una declaración a la cadena CNN, Michael Block, estratega de mercado de Third Seven Capital, una firma de asesoría financiera con sede en Nueva York, cuestionó la forma en que se hizo el cálculo de los aranceles “recíprocos”, que a su vez derivaron en drásticas caídas en los mercados globales.
“El mercado dice que esto no es solo mala economía, sino mala matemática”, declaró Block. “Están ignorando todas las reglas de la microeconomía y la macroeconomía clásicas. Esto es el equivalente político de un terrorista suicida”.
Qué dice en realidad la confusa fórmula usada por EEUU para acabar con el libre comercio
Lo que dice la fórmula en realidad es bastante simple, aunque haya sido presentado de manera confusa.
La fórmula establece que los aranceles “recíprocos” fueron calculados tomando el déficit comercial de Estados Unidos, dividiéndolo por sus exportaciones hacia Estados Unidos, multiplicado por 0.5.
El déficit comercial de un país con otro es calculado tomando en cuenta la cantidad de bienes que compra ese país al segundo, restando esa cantidad por los bienes que le vende.
Por ejemplo, el déficit comercial de Estados Unidos con China fue de 295,000 millones de dólares, por lo que al dividir esa cantidad entre 440 y después calcular el porcentaje se obtiene 67%.
Al dividir ese porcentaje entre dos y redondear se obtiene 34%, que es el porcentaje anunciado de arancel “recíproco” a China por Trump.
Antes de que la Casa Blanca difundiera su confusa fórmula, el periodista financiero James Surowiecki dijo que había encontrado la forma en la que se definieron los porcentajes de aranceles impuestos haciendo el cálculo básico del déficit, dividido por las exportaciones y multiplicado por 0.5.
Un vocero de la Casa Blanca dijo que eso era incorrecto, pero luego quedó claro que la fórmula difundida por el USTR en realidad decía lo mismo que Surowiecki había dicho. El periodista dijo que no sabía si el vocero Kush Desai, subsecretario de prensa, estaba “desinformado” o “sólo quiere confundir”.
En todo caso, en términos tradicionales de política comercial, los aranceles recíprocos son la respuesta a las tarifas que impone el país que los recibe, no un cálculo basado en el déficit de intercambio comercial.
Cálculo difundido por el USTR para explicar los aranceles parece creado por IA, dice Premio Nobel de Economía
Pero Paul Krugman, premio Nobel de Economía, fue más allá al decir en un artículo publicado en su página de Substack que el cálculo difundido por la Casa Blanca parecía el intento de un “estudiante” poco preparado para un examen.
“¿De dónde viene esta cosa? Uno de estos días probablemente obtengamos la historia completa, pero me parece algo organizado por un miembro del personal junior con solo un par de horas de anticipación”, dijo Krugman. “Esa nota de USTR, en particular, se lee como algo escrito por un estudiante que no ha hecho la lectura y está tratando de hacer tonterías en un examen”.
Pero Krugman sostuvo que la realidad podría ser aún “peor” que el escenario de un estudiante poco preparado escribiendo “tonterías”.
“La fórmula de Trump es aparentemente lo que obtienes si le pides a ChatGPT y a otros modelos de IA que hagan una política arancelaria”, escribió.
Krugman sostuvo que su teoría de que el personal del equipo vinculado a Elon Musk en el gobierno pudo estar involucrado en la definición de los porcentajes de los aranceles aplicados se vio reforzada al ver la confusa fórmula publicada por el USTR.
“Eso ahora parece una posibilidad distinta”, dijo. “¿Quién hace política de esta manera? El punto clave es que Trump no está realmente tratando de lograr los objetivos económicos. Todo esto debe verse como una muestra de dominio, con la intención de conmocionar y asombrar a las personas y hacerlas agacharse, en lugar de política en el sentido común”.
Mira también:








