Al triunfo del abstencionismo en la elección de diputados de la Asamblea Constituyente en la Ciudad de México el pasado 5 de junio le siguió otra controversia: el señalamiento a los candidatos independientes de presentar firmas inválidas ante el Instituto Nacional Electoral (INE) –de personas muertas, reclusas o de otras entidades—para lograr su candidatura.
Por qué presentaron firmas de personas muertas los candidatos independientes de la Ciudad de México
“Yo nunca fui a un panteón a solicitar firmas. Sería estúpido de mi parte", declara Gerardo Cleto López, aspirante a participar en la elaboración de la primera Constitución de la capital del país.

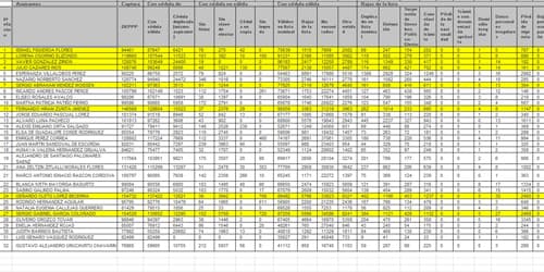
Entre otros requisitos, los aspirantes a la candidatura independiente debían entregar ante el INE 73,797 firmas de respaldo por parte de la ciudadanía. Sin embargo, pasado el proceso ha trascendido que los 21 ciudadanos que lograron ser candidatos, más otros 11 que no lo lograron pero cumplieron con el requisito de presentación de firmas, se encuentran en la misma situación de firmas no válidas.
Un documento que el INE envió a cada uno de los candidatos y al que tuvo acceso Univision Noticias da cuenta que los 32 ciudadanos suman la firma de 23,607 personas muertas y de 6,717 reclusos a las que les fueron suspendidos sus derechos electorales.

“Desafortunadamente el proceso generó que pareciera que los candidatos independientes hicimos trampa, el fenómeno es deslegitimar algo que puede ser muy bueno, que son las candidaturas independientes”, dice al respecto a Univision Noticias Gerardo Cleto López Becerra, candidato independiente que logró en la elección 9,880 votos, insuficientes para participar en la Asamblea Constituyente.
Él se explica la presentación de este tipo de firmas debido a que organizaciones vecinales y políticas se acercaron a él y a otros candidatos independientes y les ofrecieron apoyo con firmas, cuyo origen “evidentemente no tuvimos posibilidad de revisar”.
“No puedo asegurar si el ofrecimiento fue o no de mala fe –agrega--, pero de ahí pudieron provenir muchos de los errores que tuvimos todos los candidatos independientes".
En sentido similar se pronunció Natalia Eugenia Callejas Guerrero, también aspirante independiente, quien se preguntó en entrevista con Univision Noticias “¿Qué hace el ciudadano cuando te da la firma? No lo sabemos. Si usa la credencial de otra persona, o escribe mal sus datos, o efectivamente no vive en la Ciudad de México, ni yo ni ninguno de los candidatos tenemos manera de comprobarlo”.
Callejas Guerrero, que obtuvo 9,758 votos en los comicios, pone sobre la mesa otro tema.
“El INE tuvo que capturar algo así como tres millones y medio de firmas en ocho días. Nosotros vimos y están documentadas las condiciones en las que capturaron: trabajando en turnos de 12 horas, las personas que contrataron no son capturistas, les pagaron 4,000 pesos al mes (equivalentes a unos 212 dólares) por los turnos de 12 horas, capturaron en sótanos a 28 grados centígrados”, asegura.
Callejas agrega que con esa cantidad de trabajo, “por muy buena fe que haya, si el INE no tiene manera de revisar que la captura de los datos haya sido bien hecha, seguramente habrá errores (…) Era un completo desorden”.
Tanto Callejas como López indicaron que no pudieron verificar todas las firmas que el INE declaró inválidas “porque nunca nos devolvieron ni siquiera copias de lo que entregamos”, coincidieron.
La candidata precisa que con la información que conservó pudo documentar 1,500 credenciales cuyos datos fueron mal capturados. “En el caso de los muertos tengo a una persona que me asignan como muerta y al mismo tiempo como no encontrada; hay personas cuya credencial estaba vigente y que en el listado, por error del INE, aparecían como no vigentes”, destaca.
Univision Noticias solicitó información al respecto al Instituto Nacional Electoral, pero no ha recibido respuesta.
“Yo nunca salí de la Ciudad de México a pedir firmas, ni tampoco fui a un panteón a solicitar firmas. Sería estúpido de mi parte usar firmas de este tipo sabiendo que tras la revisión me las iban a invalidar. Si hubo una trampa definitivamente no vino de parte de los independientes”, acusa Gerardo Cleto López.
“Es gravísimo que se atrevan, con algo que no es cierto, a demeritar el buen nombre de una persona”, añade Natalia Eugenia Callejas Guerrero.







