La demanda civil por violación que pesa sobre Cristiano Ronaldo cada vez ofrece detalles más mórbidos en contra del futbolista. Y es que de acuerdo a los abogados de Kathryn Mayorga, existen tres mujeres más que habrían sido agredidas por el delantero de la Juventus, una habría sido violación y otras dos lo acusarían de conducta sexual inapropiada.
Aparecen tres mujeres más y documentos incriminatorios contra Cristiano Ronaldo
Los abogados de Kathryn Mayorga informaron que habría una mujer más violada y dos que reportaron conducta inapropiada. Der Spiegel muestra más papeles.
“Estoy haciendo una investigación para corroborar esta información”, aseguró Leslie Stovall, abogado de Mayorga al diario The Sun, quien indicó que la primera mujer asegura haber sido violada después de una fiesta, la segunda dice haber sido ‘lastimada’ por el jugador y la tercera habría llegado a un acuerdo extrajudicial como al que llegó Mayorga.
No se sabe si alguna de estas mujeres es Karima El Mahroug, mujer que fue víctima de prostitución infantil y su caso llevó a la cárcel por algunos meses al exprimer ministro italiano, Silvio Berlusconi. Habría sido en enero de 2010 cuando Cristiano habría mantenido relaciones sexuales con ella a cambio de cuatro mil euros cuando todavía tenía 17 años, es decir, era menor de edad.
Notas Relacionadas
MÁS PRUEBAS EN EL CASO DE KATHRYN MAYORGA
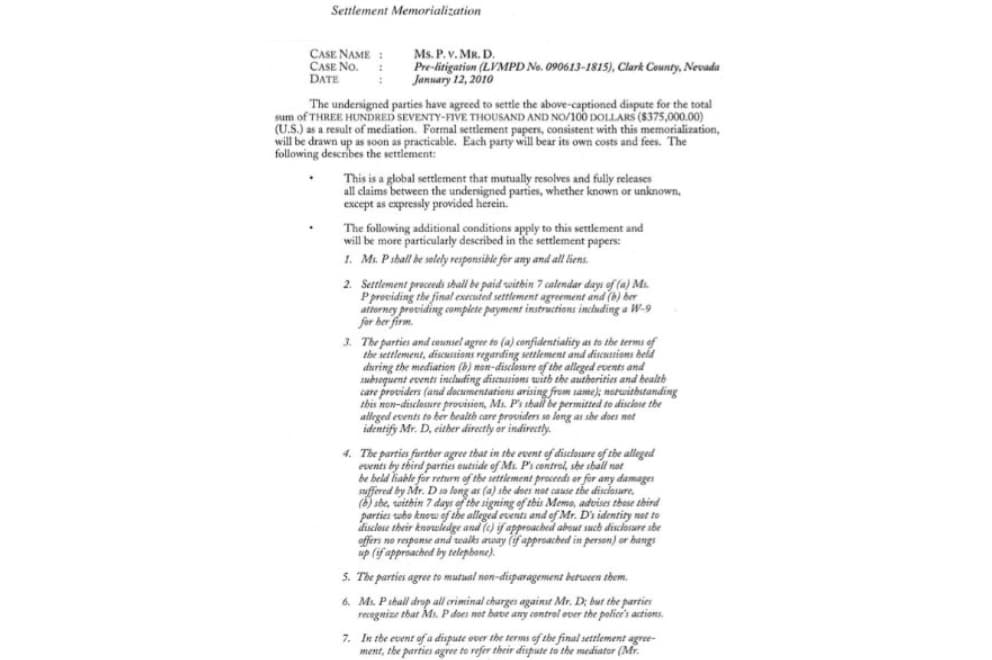
El tiempo se agota y las pruebas se agolpan. Der Spiegel dio a conocer los documentos que mostrarían la culpabilidad de Cristiano Ronaldo en la denuncia de violación de Kathryn Mayorga ocurrida el 12 de junio de 2009 en Las Vegas, el delantero de la Juventus había negado los hechos, afirmó que se trató de relaciones sexuales consensuadas; sin embargo, la existencia de dichos papeles tiraría por la borda su inocencia.
-En primer lugar se presentó el informe de la policía de Las Vegas del 13 de junio de 2009, en el que Kathryn Mayorga relata una agresión sexual en su contra, allí se explica que un futbolista había abusado de ella, aunque se niega a proporcionar el nombre y los detalles.

-Después está un cuestionario interno que los abogados de CR7 le aplicaron al propio jugador, en el que Kathryn es conocida como ‘la Señora C’ y en la que revela que ella habría dicho que no en varias ocasiones a consentir las relaciones sexuales.

-En tercer lugar está el acuerdo por 375 mil dólares al que llegaron los abogados de ambas partes en enero de 2010. En la primera hoja se pide que Mayorga abandone los cargos criminales y no hable sobre el caso.

-En la segunda hoja del acuerdo firmado se le permite a Kathryn escribirle una carta a Cristiano en donde ella expone su sentir del caso y en la que afirma que buscaba una disculpa personal en lugar de dinero.

- En la tercera hoja se ven las firmas de Mayorga y Cristiano, en lugar del futbolista firma uno de sus abogados.

-En el acercamiento del acuerdo se puede ver cómo Cristiano Ronaldo es denominado ‘Topher’ para mantener oculta su identidad.















